El tubo de Pitot, una herramienta ingeniosa utilizada en la mecánica de fluidos, ha revolucionado la forma en que medimos la velocidad del flujo. Su estructura y principio funcional ofrecen datos precisos y confiables, permitiéndonos comprender mejor el comportamiento de los fluidos en diferentes situaciones. En este artículo, exploraremos a fondo qué es un tubo de Pitot, cómo funciona y cómo se calcula la velocidad del flujo utilizando su ecuación. ¡Sumérgete en el mundo fascinante de los tubos de Pitot y descubre su importancia en la ingeniería y la ciencia!
Un tubo de Pitot es un dispositivo de medición que se utiliza para determinar la velocidad del fluido en una tubería o canal. También funciona según el principio de Bernoulli como medidor de orificio y venturímetro. Analicemos más detalles sobre el tubo de Pitot, cómo funciona y cómo podemos utilizar el tubo de Pitot para encontrar la ecuación de velocidad de flujo de un fluido que fluye a través de un tubo.


tubo de pitot
En dinámica de fluidos, el tubo de Pitot es el instrumento para medir la velocidad del flujo. Por lo general, este instrumento se utiliza principalmente en embarcaciones acuáticas y aviones para determinar su velocidad. Este tubo pitot también tiene muchas aplicaciones industriales.
Estructura y principio de funcionamiento del tubo de Pitot.

- El tubo de Pitot consiste en un tubo doblado en ángulo recto, como se muestra en la figura anterior.
- El extremo inferior (el extremo de apertura), que está doblado a 90°, está dirigido en la dirección ascendente del flujo de líquido.
- En el tubo de Pitot, el líquido se encuentra en la parte vertical del tubo de Pitot.
- A medida que el fluido fluye a través de la entrada del tubo de Pitot, el fluido asciende debido a la conversión de energía cinética en energía de presión.
- La velocidad del fluido se puede determinar midiendo el ascenso del fluido en la parte vertical de la tubería.

- En la imagen de arriba, el tubo Pitot está instalado en una aeronave para determinar la velocidad de la aeronave en función de la velocidad del flujo de aire, que se calcula a partir del nivel de fluido vertical del tubo Pitot.
Ecuación de velocidad de flujo en el tubo de Pitot.

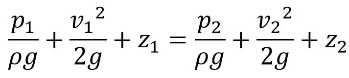
Consideremos dos puntos (1) y (2) a la misma altura, por lo que el punto (2) es igual a la entrada del tubo pitot y el punto (1) está lejos del tubo.
Ahora
PAG1 = intensidad de la presión en el punto (1)
v1 = velocidad del flujo en (1)
PAG2 = presión en el punto (2)
v2 = Velocidad en el punto (2), que es cero
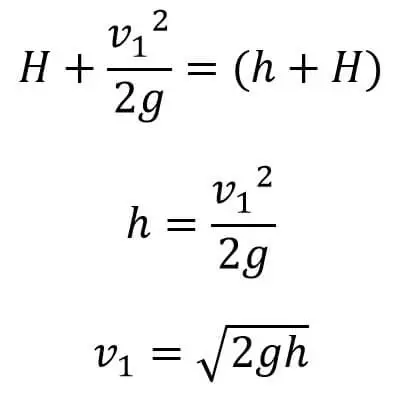
H = profundidad del tubo en el líquido
h = ascenso del líquido en la tubería por encima de la superficie libre
Si aplicamos la ecuación de Bernoulli a los puntos (1) y (2), obtenemos

Byt, por ejemplo1 = por ejemplo2 ya que los puntos (1) y (2) se encuentran en la misma recta y v2 =0


Si reemplazamos estos valores, obtenemos:

Por favor habilite JavaScript
Esta es la velocidad teórica. La velocidad real está dada por

Donde Cv = Coeficiente del tubo de Pitot
Velocidad en cualquier punto del flujo de fluido que se puede determinar a través del tubo de Pitot.

Esta es la ecuación de velocidad del flujo para calcular la velocidad medida por el tubo de Pitot.
Velocidad en cualquier punto Velocidad del flujo en una tubería a través de un tubo de Pitot
Para encontrar la velocidad en cualquier punto de una tubería usando un tubo de Pitot, se pueden adoptar las siguientes disposiciones de los tubos de Pitot.
- Tubo de Pitot junto con un tubo piezómetro vertical como se muestra en la siguiente figura

- Tubo Pitot conectado al piezómetro como se muestra en la siguiente figura.

- Tubo Pitot y tubo piezómetro vertical conectados a un manómetro de tubo diferencial en V como se muestra en la siguiente figura.

- Un tubo estático de Pitot consta de dos tubos circulares concéntricos anidados uno dentro del otro con un espacio anular entre ellos, como se muestra en la siguiente figura.

La salida de estos dos tubos está conectada al manómetro diferencial donde se mide la diferencia de presión “h” conociendo la diferencia de fluido manómetro “x”.

Ventajas del tubo pitot
- El tubo Pitot es portátil y no contiene piezas móviles.
- El tubo de Pitot es económico.
- La pérdida de presión permanente es baja.
- El tubo Pitot se puede instalar fácilmente en un sistema existente, como puede ver, está instalado en el ala de un avión.
Desventajas del tubo de pitot
- Las materias extrañas en un líquido pueden obstruir fácilmente el tubo de Pitot e interferir con la visualización normal.
- Medir la velocidad del fluido con el tubo de Pitot es menos preciso en comparación con otros instrumentos.
- El tubo Pitot tiene un rango muy bajo para medir la velocidad.
Aplicaciones de los tubos pitot
- El tubo de Pitot se utiliza en corrientes de suministro.
- Se utiliza en sistemas de tuberías y conductos de aire.
- Se utiliza en aviones para medir la velocidad del flujo de aire.
- El tubo de Pitot se utiliza para mapear perfiles de flujo en un canal o canal.
Se trata del tubo de Pitot. Háganos saber lo que piensa sobre este artículo en la sección de comentarios a continuación.
[automatic_youtube_gallery type=»search» search=»Tubo de Pitot: estructura, principio funcional, ecuación de velocidad del flujo.
» limit=»1″]
Pitot Tube – Medición de la Velocidad del Flujo
Introducción
Un tubo de Pitot es un instrumento de medición utilizado para determinar la velocidad del fluido en una tubería o canal. Este instrumento funciona según el principio de Bernoulli, al igual que el medidor de orificio y el venturímetro. En este artículo, discutiremos en detalle el tubo de Pitot, cómo funciona y cómo podemos encontrar la ecuación de velocidad del flujo de un fluido que fluye a través de una tubería con la ayuda del tubo de Pitot.
Tubo de Pitot – Construcción y Principio de Funcionamiento
El tubo de Pitot consta de un tubo doblado en ángulo recto. El extremo inferior (extremo abierto), doblado a 90 grados, apunta en la dirección del flujo del fluido. Dentro del tubo de Pitot, hay un líquido en la porción vertical. A medida que el fluido fluye hacia la entrada del tubo de Pitot, el líquido asciende debido a la conversión de energía cinética en energía de presión. La velocidad del fluido se puede determinar midiendo el nivel de líquido en la porción vertical del tubo.
Ecuación de Velocidad del Flujo en el Tubo de Pitot
Consideremos dos puntos (1) y (2) al mismo nivel, de tal manera que el punto (2) sea la entrada del tubo de Pitot y el punto (1) esté alejado del tubo.
Ahora, p1 = Intensidad de la presión en el punto (1), v1 = Velocidad del flujo en (1), p2 = Presión en el punto (2), v2 = Velocidad en el punto (2) que es cero, H = Profundidad del tubo en el líquido, h = Elevación del líquido en el tubo sobre la superficie libre.
Aplicando la ecuación de Bernoulli en los puntos (1) y (2), obtenemos:
P1 + (1/2)ρv1^2 + ρgh = P2 + (1/2)ρv2^2 + ρgh
Donde ρ es la densidad del fluido.
Ya que z1 = z2 ya que los puntos (1) y (2) están en la misma línea y v2 = 0, podemos simplificar la ecuación a:
P1 + (1/2)ρv1^2 = P2 + ρgh
Al sustituir estos valores, obtenemos:
v1 = √(2gh)
Esta es la velocidad teórica. La velocidad real está dada por la ecuación:
V = Cv * √(2gh)
Donde Cv es el coeficiente del tubo de Pitot.
Ventajas y Desventajas del Tubo de Pitot
Ventajas:
- El tubo de Pitot es portátil y no contiene partes móviles.
- Es económico.
- Tiene una pérdida de presión permanente baja.
- Se puede instalar fácilmente en un sistema existente, como en el ala de una aeronave.
Desventajas:
- Los materiales extraños en un fluido pueden obstruir fácilmente el tubo de Pitot y alterar las mediciones normales.
- La medición de la velocidad del fluido con el tubo de Pitot es menos precisa en comparación con otros instrumentos.
- Tiene un rango muy bajo para medir la velocidad.
Aplicaciones del Tubo de Pitot
- El tubo de Pitot se utiliza en corrientes de servicios públicos.
- Se utiliza en sistemas de conductos de aire y tuberías.
- Se utiliza en aeronaves para medir la velocidad del flujo de aire.
- El tubo de Pitot se utiliza para mapear perfiles de flujo en un canal o conducto.
Esto es todo sobre el tubo de Pitot. Déjanos tus comentarios sobre este artículo en la sección de comentarios a continuación.
