¿Cómo se diseña una prensa hidráulica?

Ahora más que nunca, la tecnología de las prensas hidráulicas se ha convertido en una pieza fundamental en la industria. Desde la fabricación de automóviles hasta la producción de muebles, estas máquinas han revolucionado la manera en que se realizan tareas de gran envergadura. Pero, ¿alguna vez te has preguntado cómo se diseñan y construyen estas poderosas herramientas? En este artículo, te llevaremos en un fascinante recorrido por el proceso de diseño de una prensa hidráulica, desde el inicio hasta el resultado final. ¡Prepárate para descubrir los secretos detrás de una de las tecnologías más impresionantes del mundo industrial!

¿Alguna vez te has preguntado cómo diseñar una prensa hidráulica? Utilizamos prensas hidráulicas para multitud de aplicaciones, desde el punto de fabricación hasta la compactación. En este artículo aprenderá a diseñar una prensa hidráulica determinando los parámetros necesarios como el diámetro del ariete, las columnas verticales y la presión del cilindro hidráulico. Discutiremos esto resolviendo un problema simple en una prensa hidráulica.


¿Cómo se diseña una prensa hidráulica?

En el artículo anterior, discutimos los diferentes tipos de tensiones inducidas en los cilindros debido a las presiones internas del fluido. También analizamos las tensiones en el cilindro grueso usando la ecuación de Lame. Sólo a partir de estas ecuaciones resolveremos un problema de una prensa hidráulica.


A continuación encontrará el planteamiento del problema de la prensa hidráulica.

Problema: La prensa hidráulica tiene una presión de agua de 16 N/mm.2 Para prensar materiales hasta un tamaño máximo de 800 mm × 800 mm y una altura de 800 mm, se requiere una fuerza de 80 kN, la longitud de carrera es de 80 mm.

Diseñar y dibujar las siguientes partes de la prensa:

  1. diseño de aries
  2. cilindro
  3. columnas
  4. glándula

Arespuesta:

Siempre que la prensa hidráulica trabaje bajo una presión de P = 16 N/mm2
Una fuerza ejerciente F = 80 kN = 80×103 norte

A continuación se muestra el diagrama esquemático de la prensa hidráulica.

¿Cómo se diseña una prensa hidráulica?
Figura: Representación esquemática de una prensa hidráulica

1. Diseño de Ram

Asumamos DR es el Diámetro del ariete.


05.a) Unidad de ejercicio Creo 3.0 – C…

Por favor habilite JavaScript

Se da que la fuerza máxima que debe ejercer el ariete (F)
80×103 = π/4 (DR)2 P = π/4 (DR)2 16 = 12,57 (DR)2
(DR)2 = 80×103/12,57 = 6364
DR = 79,8

Supongamos que el diámetro del ariete es de 80 mm.

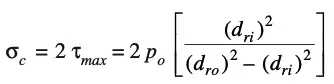
Si el émbolo es hueco para reducir el peso, se puede construir como un cilindro grueso sometido a presión externa. Ya lo hemos comentado en el artículo anterior sobre las tensiones en el cilindro grueso según la ecuación de Lame,

La tensión tangencial máxima (teniendo en cuenta únicamente la presión externa) viene dada por:

¿Cómo se diseña una prensa hidráulica?

Y la tensión radial máxima está dada como

σR(máx.) = – PAGoh (compresivo)

Dónde
Dro = diámetro exterior del ariete = DR = 80 mm
DRhode Island = diámetro interior del ariete
PAGoh = presión externa = PAG = 16 N/mm2 …(este valor se especifica en el enunciado del problema)

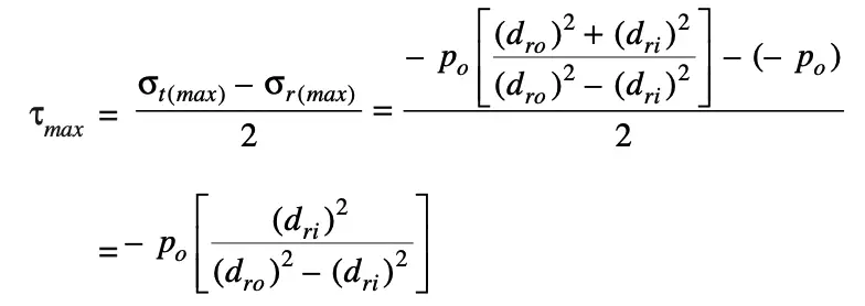
De acuerdo con la teoría del esfuerzo cortante máximo para materiales dúctiles, el esfuerzo cortante máximo ahora se escribe de la siguiente manera:

¿Cómo se diseña una prensa hidráulica?

Por lo tanto, sabemos que el esfuerzo cortante máximo es la mitad del esfuerzo principal máximo (que es el esfuerzo de compresión).

¿Cómo se diseña una prensa hidráulica?

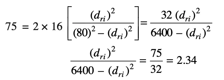
El punzón suele estar hecho de acero dulce, al que se aplica la tensión de compresión (σ).C) se puede suponer que es 75 N/mm2. Sustituyendo este valor de voltaje en la expresión anterior,


¿Cómo se diseña una prensa hidráulica?

(DRhode Island)2 = = 2,34 [6400 – (dri)2] = 14.976 – 2,34 (díasRhode Island)2
(DRhode Island)2 = 14.976/3,34 = 4484
DRhode Island = 67


Obtenemos el diámetro interior del ariete. DRhode Island = 67mm

También calculamos el diámetro exterior del ariete. Dro = DR = 80 mm

2. Diseño del cilindro

Ahora diseñemos el cilindro con los parámetros de diseño clave del cilindro.

Dci = diámetro interior del cilindro

Dco = diámetro exterior del cilindro

Supongamos que hay una holgura de 15 mm entre el empujador y el orificio del cilindro.

Por lo tanto, el diámetro interior del cilindro es
Dci = Dro + distancia (∴ Dro = diámetro exterior del ariete)
Dci = 80+15 = 95

El diámetro interior del cilindro es Dci = 95 mm

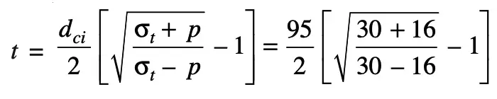
El cilindro suele estar fabricado de hierro fundido, cuya tensión de tracción se puede fijar en 30 N/mm2.


Según la ecuación de Lame, sabemos que el espesor de pared de un cilindro

¿Cómo se diseña una prensa hidráulica?

t = 47,5(1,81-1) = 38,5

digamos 40mm

El cilindro debe estar fabricado de un material de 40 mm de espesor.

Ahora necesitamos calcular el diámetro exterior del cilindro.

El diámetro exterior del cilindro es Dco = Dci +2t = 95 + 2×40 = 175mm

3. Diseño de las columnas

Supongamos que el diámetro de la columna es DPAG

La función principal de las columnas es soportar la placa superior y guiar la placa deslizante.

Cuando se presiona el material, las columnas están bajo tensión directa.

Supongamos que hay cuatro columnas y que la carga se distribuye uniformemente entre ellas.

∴ Carga de cada columna = (80×103)/4 = 20×103 NORTE……. (I)

Sabemos que la carga en cada columna = (π/4) (DPAG)2 σt
= (π/4) (DPAG)2 75
= 58,9 (DPAG)2 …… (ii)

De las ecuaciones (i) y (ii),

58,9 (DPAG)2 = 20×103
(DPAG)2 = 20 × 103/58,9 = 340
DPAG = 18,4 mm

El diámetro de la columna debe ser de al menos 18,4 mm para soportar las cargas especificadas en el planteamiento del problema.

De una fina gama de roscas métricas, adoptemos las roscas en columnas como M20 × 1,5 con un diámetro principal de 20 mm y un diámetro central de 18,16 mm del libro de estándares de diseño.

4. Diseño de la glándula

A continuación se muestra la representación esquemática de la glándula con los parámetros empíricos.

¿Cómo se diseña una prensa hidráulica?

w = ancho de la mochila de cuero en U
DGRAMO = diámetro exterior del prensaestopas
DF = Diámetro exterior de la brida del prensaestopas
PCD = diámetro del círculo primitivo de la conexión por tornillo
DC = diámetro del núcleo del perno
DR = Diámetro exterior del ariete = 80 mm ya lo sabíamos

La anchura (w) del embalaje de cuero en U para un carnero se da empíricamente como 2√DR hasta 2,5√DR.

Consideremos w = 2,2√DR = 2,2 √80 = 19,7

Digamos el ancho del paquete de cuero en U para el ariete. w es de 20 mm.

El diámetro exterior de la glándula D.GRAMO = DR +2w = 80+2×20 = 120mm

Sabemos que la carga total hacia arriba en el prensaestopas = área del prensaestopas expuesta a la presión del fluido × presión del fluido
= π (DR + w) wp = π (80 + 20) 20 × 16 = 100 544 norte

Supongamos que se utilizan 8 pernos distribuidos uniformemente en el círculo primitivo de la brida del prensaestopas para sujetar el prensaestopas.
∴ Carga en cada perno = 100,544 / 8 = 12,568 N

Si Corriente continua es el diámetro del núcleo del perno y σt es la tensión de tracción permitida para el material del perno, luego se aplica una carga a cada perno
12 568 = (π/4) (DC)2 σt = (π/4) (DC)2 75 = 58,9 (DC)2
(DC)2 = 12568/58,9 = 213,4
DC = 14,6 mm

De la fina gama de roscas métricas tomamos los tornillos de tamaño M18 × 1,5 con un diámetro exterior de 18 mm y un diámetro central (DC) de 16,16 mm.

Diámetro del círculo primitivo de la brida del prensaestopas (PCD) = DGRAMO +3DC =120+3×16,16 = 168,5 mm

Diámetro exterior de la brida del prensaestopas (DF) = DGRAMO +6DC =120+6×16,16 = 216,96 o 217 mm

y el espesor de la brida del prensaestopas = 1,5 DC = 1,5 × 16,16 = 24,24 o 24,5 mm

Con estos parámetros podemos diseñar el prensaestopas que soportará las cargas ejercidas por el ariete a través de las cargas especificadas en el planteamiento del problema.

Diploma

Resolvimos el problema de ejemplo en la prensa hidráulica y calculamos los parámetros de diseño para el ariete, el cilindro, las columnas y el prensaestopas utilizando la ecuación de Lame utilizada para los cilindros gruesos. Háganos saber su opinión en la sección de comentarios a continuación.

[automatic_youtube_gallery type=»search» search=»¿Cómo se diseña una prensa hidráulica?

» limit=»1″]

¿Alguna vez te has preguntado cómo diseñar una Prensa Hidráulica?

Utilizamos la prensa hidráulica para muchas aplicaciones desde un punto de vista de fabricación hasta la compactación. En este artículo, entenderemos cómo diseñar una prensa hidráulica encontrando los parámetros necesarios como el diámetro del pistón, las columnas verticales y la presión del cilindro hidráulico. Discutiremos esto resolviendo un problema simple en una prensa hidráulica.

En el artículo anterior

En el artículo anterior, hemos discutido los diferentes tipos de tensiones que se inducen en los cilindros debido a las presiones internas del fluido, también hemos discutido las tensiones en el cilindro grueso utilizando la ecuación de Lamé. A partir de estas ecuaciones vamos a resolver un problema sobre una prensa hidráulica.

Problema

La prensa hidráulica, con una presión de trabajo del agua de 16 N/mm2 y ejerciendo una fuerza de 80 kN, se requiere para prensar materiales de tamaño máximo de 800 mm × 800 mm y 800 mm de alto, con una longitud de carrera de 80 mm. Diseña y dibuja las siguientes partes de la prensa:

  1. Diseño del pistón
  2. Cilindro
  3. Pilares
  4. Ensamble

Solución

Diseño del Pistón

Supongamos que el diámetro del pistón es dr.

Dado que la fuerza máxima que debe ejercer el pistón (F) es de 80 x 10^3 N, tenemos:

π/4 (dr)^2 P = F

Sustituyendo los valores, resolvemos para dr:

dr = 79.8 mm

Diseño del Cilindro

Tomemos dci como el diámetro interno del cilindro y dco como el diámetro externo del cilindro. Dado que hay un margen de 15 mm entre el pistón y el cilindro, tenemos:

dci = dro + margen = 80 + 15 = 95 mm

Para calcular el grosor de la pared del cilindro, utilizamos la ecuación de Lamé:

t = 47.5(1.81 – 1) = 38.5 mm

Por lo tanto, el cilindro tendrá un grosor de 40 mm y un diámetro externo de dco = dci + 2t = 95 + 2×40 = 175 mm

Diseño de Pilares

Supongamos que el diámetro de los pilares es dp.

La carga en cada pilar será de (80 x 10^3 N) / 4 = 20 x 10^3 N

Usando la fórmula del área y la tensión permisible, resolvemos para dp:

dp = 18.4 mm

Diseño de la Junta de Ensamble

El ancho del empaque de cuero en forma de «U» para el pistón se calcula empíricamente como 2√dr a 2.5√dr. Sustituyendo los valores, tenemos:

Ancho del empaque (w) = 20 mm

El diámetro externo de la junta (DG) será dr + 2w = 80 + 2×20 = 120 mm

La carga total hacia arriba en la junta será Área de la junta expuesta a la presión del fluido x Presión del fluido = π(dr + w)w x 16 = 100,544 N

Usando la fórmula de la ecuación de Lame y considerando 8 pernos igualmente espaciados, obtenemos:

Diámetro del núcleo del perno (dc) = 14.6 mm

Diámetro del círculo de paso en el ensamble (P.C.D) = DG + 3dc = 120 + 3×14.6 = 168.5 mm

Diámetro externo de la brida del ensamble (DF) = DG + 6dc = 120 + 6×14.6 = 217 mm

Grosor de la brida del ensamble = 24.5 mm

Conclusión

Hemos resuelto el problema de la prensa hidráulica y calculado los parámetros de diseño para el pistón, el cilindro, los pilares y el ensamble. Utilizamos la ecuación de Lamé que se utiliza para los cilindros gruesos. Por favor, déjanos tus comentarios en la sección de comentarios a continuación.

Preguntas frecuentes

  1. ¿Qué material se utiliza para hacer el pistón de la prensa hidráulica?
  2. El pistón de la prensa hidráulica generalmente se fabrica en acero dulce.

  3. ¿Cuál es la presión de trabajo del agua en la prensa hidráulica?
  4. La presión de trabajo del agua en la prensa hidráulica es de 16 N/mm2.

  5. ¿Cómo se calcula el grosor de la pared del cilindro?
  6. Utilizamos la ecuación de Lamé para calcular el grosor de la pared del cilindro.

Referencias

  1. Enlace a fuente relevante 1
  2. Enlace a fuente relevante 2
  3. Enlace a fuente relevante 3

Deja un comentario