¿Alguna vez te has preguntado cómo funcionan los medidores de apertura? Estos dispositivos son herramientas clave en distintos campos de la ingeniería y la física, y su principio de funcionamiento se basa en una interesante ecuación de descarga. En este artículo, exploraremos la estructura de un medidor de apertura, su principio de funcionamiento y cómo se aplica la ecuación de descarga para obtener mediciones precisas. ¡Prepárate para sumergirte en el fascinante mundo de los medidores de apertura y descubrir cómo ayudan a comprender y controlar diferentes procesos!
Un medidor de orificio es un dispositivo que se utiliza para medir la velocidad de flujo de un fluido a través de una tubería. También funciona según el mismo principio de Bernoulli que el venturímetro. Comparado con el venturímetro, es un dispositivo más económico. Analicemos más detalles del medidor de orificio, como: B. la estructura, el principio de funcionamiento, las diferentes partes y más…


medidor de apertura
Por favor habilite JavaScript
Consiste en una placa circular plana con un orificio circular de bordes afilados, llamado abertura, concéntrico con el tubo. El diámetro de la abertura es generalmente 0,5 veces el diámetro de la tubería, pero puede variar entre 0,4 y 0,8 veces el diámetro de la tubería.

Piezas y construcción de medidores de apertura.
- Sección de entrada
- placa de apertura
- Acondicionador de flujo
- zona de salida
- Manómetro diferencial

1. Sección de entrada
La sección de entrada es el segmento lineal que se extiende desde el dispositivo y actúa como un puerto frontal para el fluido que fluye en el interior.
2. Apertura
El orificio está ubicado entre la entrada y la salida y se utiliza para crear una caída de presión que permite que fluya el caudal, lo que permite medir el caudal.

3. Acondicionador de flujo
Normalmente, el acondicionador de flujo se instala en la sección de entrada del tubo de medición y se utiliza para mejorar el flujo lineal en la sección de entrada del tubo de medición.

4. Zona de escape
La sección de salida es el segmento lineal similar a la sección de entrada donde se determina la presión del gas o líquido que sale.
5. Manómetro diferencial
El manómetro diferencial es un dispositivo que se utiliza para medir la diferencia de presión entre dos puntos de una tubería o en dos tuberías diferentes. Un manómetro diferencial consta de un tubo en U que contiene un líquido pesado, cuyos ambos extremos están conectados a los dos puntos cuya diferencia de presión se va a medir.

Obtenga más información sobre los manómetros diferenciales…
Principio de funcionamiento del medidor de apertura.
- Orifice Meter Works se basa en el principio de la ecuación de Bernoulli.
- En un medidor de orificio, hay un tubo por el que fluye líquido de lado a lado, el cual representa una sección de entrada a la sección de salida.
- Se coloca un manómetro diferencial entre los dos puntos para medir las diferencias de presión entre estos dos puntos.
- También se puede instalar un condensador de flujo en la sección de entrada del medidor de orificio para mejorar el flujo lineal del líquido. (El condensador de flujo es una sección similar a un filtro que dirige el flujo de líquido en un movimiento muy lineal).
- Ahora colocamos una placa fina perforada con un pequeño agujero en medio para que fluya el líquido.
- Debido al orificio concéntrico muy pequeño de la abertura, la velocidad aumenta, la presión disminuye y viceversa.
- La posición del orificio en la tubería sólo determina el caudal o caudal en ese punto.
- El flujo de salida a través del orificio se puede calcular utilizando la fórmula que se proporciona en la siguiente sección.
Expresión para el caudal a través del medidor de orificio
A la sección (1), que está ubicada frente al orificio de medición a una distancia de aproximadamente 1,5 a 2,0 veces el diámetro de la tubería, y a la sección (2), que está a una distancia de aproximadamente la mitad del diámetro del orificio de medición. ubicado, un manómetro diferencial está conectado al orificio en el lado aguas abajo del orificio.

Dejar
PAG1 =Presión en la sección (1)
v1 = velocidad en la sección (1)
A1 = área de tubería en la sección (1)
PAG1v1y un1 son los valores correspondientes en la sección (2)
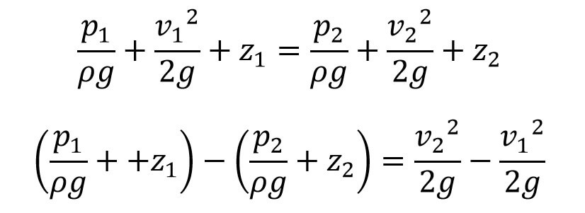
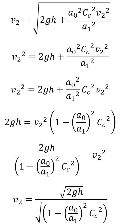
Aplicando la ecuación de Bernoulli en las secciones (1) y (2), obtenemos:

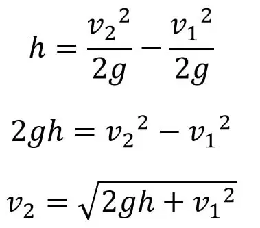
Pero tenemos la altura diferencial h

Sustituyendo este valor de h en la ecuación anterior obtenemos:

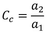
Ahora la sección (2) está activada. contrato de venta y un2 representa el área contrato de venta.
cuando un0 es el área de responsabilidad que luego tenemos

Donde CC =coeficiente de contracción
A2 = un0 ×CC
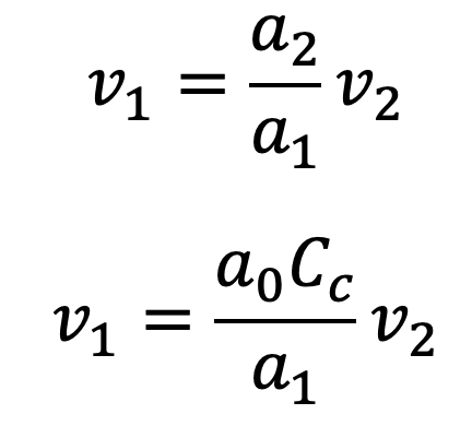
Por la ecuación de continuidad tenemos
A1 v1 = un2 v2

Sustituir el valor de v1 en la ecuación (a) y obtenemos

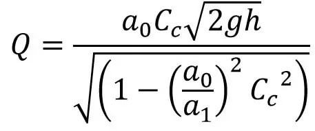
Conocemos la salida de cualquier corriente de fluido.
Q=v2 × un2
Q=v2 × un0 ×CC

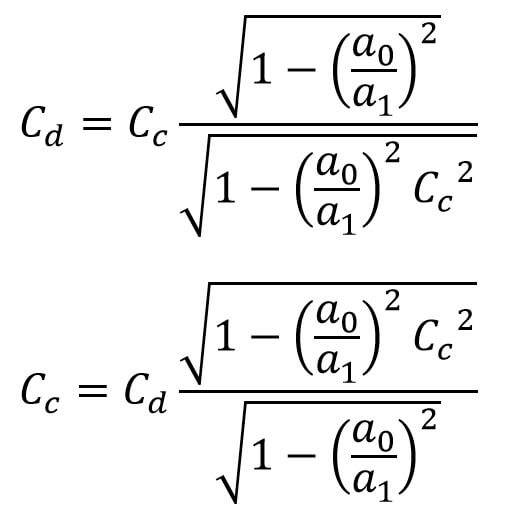
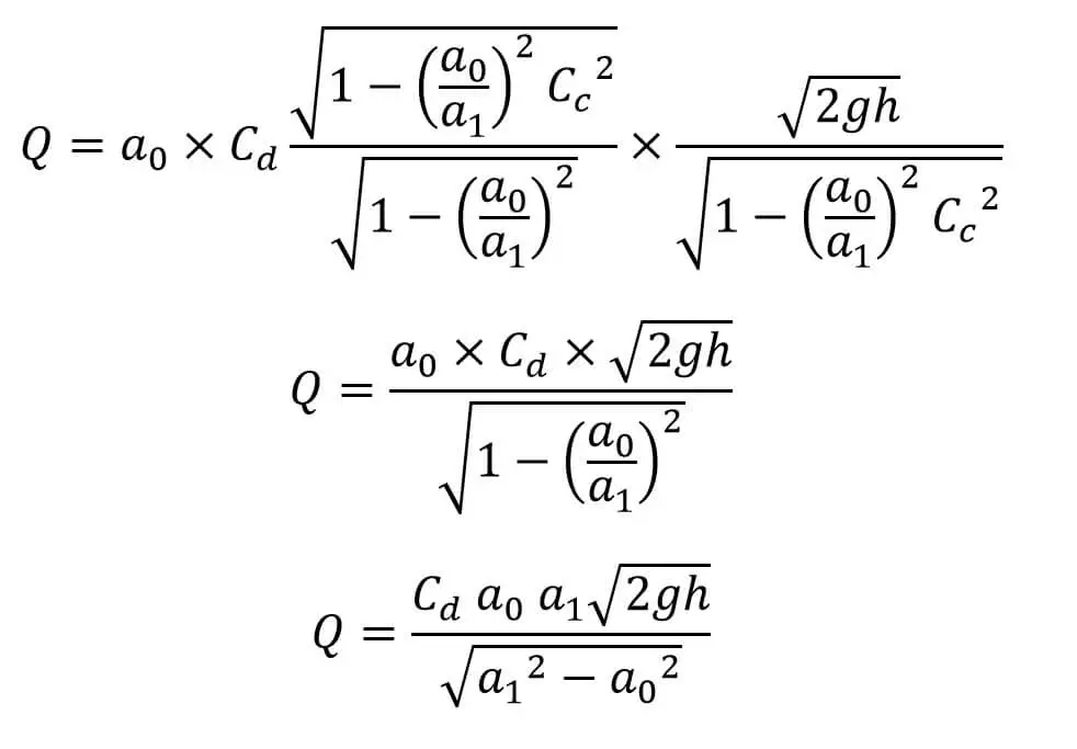
La expresión anterior se puede simplificar usando

Sustituya este valor de CC en la ecuación (b) obtenemos

Ésta es la expresión para la descarga del flujo a través del orificio. donde CD es el coeficiente de flujo de salida para el contador de apertura.
Aplicaciones del medidor de orificio
Un medidor de orificio puede medir el caudal de líquidos en su estado individual, ya sea gaseoso o líquido, y también se puede utilizar para medir el caudal de líquidos en estado mixto, que es tanto gaseoso como líquido, como por ejemplo: B. vapor húmedo. o gas natural con agua.
La principal aplicación del medidor de orificio es medir caudales en múltiples ubicaciones, por ejemplo
- plantas de tratamiento de agua,
- gas natural
- Petroquímico
- Sistemas de filtración de aceite
- Refinerías.
Ventajas del medidor de orificio
- El medidor de orificio es muy económico en comparación con otros medidores de flujo como el medidor Venturi.
- La orientación del contador de apertura puede ser vertical, horizontal e inclinada según sea necesario.
- El espacio requerido para la instalación del medidor de orificio es menor.
- Como puede ver en la imagen del panel de arriba, esta placa es lo suficientemente delgada como para caber entre una tubería existente.
- El esfuerzo de mantenimiento del contador de apertura es reducido.
- Ofrece una caída de presión muy baja.
- La estructura y diseño de este contador de apertura es muy sencillo.
- La principal ventaja es la capacidad de determinar una amplia gama de caudales.
Desventajas del OrificeMeter
- Debido a la longitud limitada de la vena contracta, la presión mínima para leer el flujo a veces resulta difícil.
- La presión aguas abajo se puede recuperar en el medidor Venturi. Sin embargo, el medidor de orificio no puede restaurar la presión aguas abajo.
- La precisión del orificio puede verse afectada por la viscosidad, densidad y presión del líquido.
- Se requiere un tubo recto para lograr una buena precisión y exactitud.
- La pérdida total de presión de la presión diferencial es del 40 al 90%.
- El coeficiente de salida obtenido es bajo.
Se trata del medidor de orificio. Háganos saber lo que piensa sobre este artículo en la sección de comentarios a continuación.
[automatic_youtube_gallery type=»search» search=»Medidor de apertura: estructura, principio de funcionamiento, ecuación de descarga.
» limit=»1″]
Medidor de Orificio
El Medidor de Orificio es un dispositivo utilizado para medir la tasa de flujo de un fluido a través de una tubería. También funciona bajo el mismo principio de Bernoulli que el Venturímetro. Es un dispositivo más barato en comparación con el Venturímetro. Discutamos más detalles del Medidor de Orificio, como la construcción, el principio de funcionamiento, las diferentes partes y más…
Partes y Construcción del Medidor de Orificio
- Sección de Entrada: La sección de entrada es el segmento lineal que se extiende desde el dispositivo y actúa como una conexión frontal para el flujo del fluido en el interior.
- Placa de Orificio: La placa de orificio está situada entre la sección de entrada y la de salida, y se utiliza para generar una caída de presión que permitirá medir la tasa de flujo.
- Acondicionador de Flujo: Normalmente, el acondicionador de flujo se instala en la sección de entrada del tubo del medidor y se utiliza para mejorar el flujo lineal en esa sección del tubo.
- Sección de Salida: La sección de salida es un segmento lineal similar a la sección de entrada, donde se determina la presión del gas o fluido descargado.
- Manómetro Diferencial: El manómetro diferencial es un dispositivo utilizado para medir la diferencia de presiones entre dos puntos en una tubería o en dos tuberías diferentes. Consiste en un tubo en forma de U, que contiene un líquido denso, cuyos dos extremos están conectados a los dos puntos cuya diferencia de presión se va a medir.
Principio de Funcionamiento del Medidor de Orificio
El Medidor de Orificio funciona sobre la base del principio de la ecuación de Bernoulli. En el Medidor de Orificio, hay una tubería por la cual el fluido pasa desde un lado hasta otro, es decir, desde la sección de entrada hasta la sección de salida. Se adjunta un manómetro diferencial entre los dos puntos para medir las diferencias de presión. También se puede instalar un acondicionador de flujo en la sección de entrada del Medidor de Orificio para mejorar el flujo lineal del fluido. (El acondicionador de flujo es una sección de tipo filtro que guía el flujo del fluido de manera muy lineal). Luego, colocamos una placa de orificio que es delgada y tiene un pequeño orificio en su interior por donde pasará el fluido. Debido al orificio de tamaño muy pequeño y concéntrico, la velocidad aumenta, la presión disminuye y viceversa. La ubicación de la placa de orificio en la tubería determina únicamente la tasa de flujo o descarga en ese punto especifico. La descarga a través de la placa de orificio se puede calcular mediante la fórmula especificada en la siguiente sección.
Expresión para la Tasa de Flujo a través del Medidor de Orificio
Un manómetro diferencial se conecta en la sección (1), que está a una distancia de aproximadamente 1.5 a 2.0 veces el diámetro de la tubería aguas arriba de la placa de orificio, y en la sección (2), que está a una distancia de aproximadamente la mitad del diámetro del orificio aguas abajo de la placa de orificio.
Sea p1 = Presión en la sección (1), v1 = velocidad en la sección (1), a1 = área de la tubería en la sección (1). p1, v1 y a1 son los valores correspondientes en la sección (2).
Aplicando la ecuación de Bernoulli en las secciones (1) y (2), obtenemos:
Pero tenemos la cabeza diferencial h:
Sustituyendo este valor de h en la ecuación anterior, obtenemos:
Ecuación (a)
Ahora, la sección (2) se encuentra en la venta-contracta y ‘a2’ representa el área en la venta-contracta.
Si a0 es el área del orificio, entonces tenemos:
Donde Cc = Coeficiente de contracción, a2 = a0 × Cc
Por la ecuación de continuidad, tenemos:
a1 v1 = a2 v2
Sustituyendo el valor de v1 en la Ecuación (a), obtenemos:
Conocemos la descarga de cualquier flujo de fluido:
Q = v2 × a2, Q = v2 × a0 × Cc
Ecuación (b)
La expresión anterior se puede simplificar usando:
Sustituyendo este valor de Cc en la Ecuación (b), obtenemos:
Esta es la expresión para la descarga de flujo a través del Medidor de Orificio, donde Cd es el Coeficiente de descarga para el medidor de orificio.
Aplicaciones del Medidor de Orificio
El Medidor de Orificio puede medir la tasa de flujo de fluidos en su estado único, ya sea en estado gaseoso o líquido, y también se utiliza para medir la tasa de flujo de fluidos en un estado mixto, es decir, en estados gaseoso y líquido, como el vapor húmedo o el gas natural con agua.
Las principales aplicaciones del Medidor de Orificio son: plantas de tratamiento de agua, gas natural, petroquímicas, plantas de filtración de aceite y refinerías.
Ventajas del Medidor de Orificio
- El Medidor de Orificio es muy económico en comparación con otros medidores de flujo como el Venturímetro.
- La alineación del Medidor de Orificio puede ser vertical, horizontal o inclinada según sea necesario.
- Se requiere menos espacio para la instalación del Medidor de Orificio.
- Como se puede ver en la imagen de la placa de orificio, esta es lo suficientemente delgada como para adaptarse a una tubería existente.
- El costo de mantenimiento del Medidor de Orificio es bajo.
- Ofrece una caída de presión muy baja.
- La construcción y el diseño de este Medidor de Orificio son muy simples.
- Es capaz de determinar una amplia gama de tasas de flujo, lo cual es su principal ventaja.
Desventajas del Medidor de Orificio
- Debido a las limitaciones en la longitud de la venta-contracta, a veces es difícil leer la presión mínima para el flujo.
- En el Venturímetro, se puede recuperar la presión aguas abajo. Pero con el Medidor de Orificio, la presión aguas abajo no se puede recuperar.
- La precisión del orificio puede verse afectada por la viscosidad, densidad y presión del fluido.
- Se requiere una tubería recta para una buena precisión y exactitud.
- Pérdida de carga total del 40% al 90% de la presión diferencial.
- El coeficiente de descarga obtenido es bajo.
Esto es todo sobre el Medidor de Orificio. Cuéntanos qué opinas sobre este artículo en la sección de comentarios a continuación.
Preguntas frecuentes
- ¿Cuál es el principio de funcionamiento del Medidor de Orificio?
El Medidor de Orificio funciona en base al principio de la ecuación de Bernoulli. - ¿Cuáles son las partes principales del Medidor de Orificio?
Las partes principales del Medidor de Orificio son: la sección de entrada, la placa de orificio, el acondicionador de flujo, la sección de salida y el manómetro diferencial. - ¿Cuáles son las aplicaciones del Medidor de Orificio?
El Medidor de Orificio se utiliza en plantas de tratamiento de agua, gas natural, petroquímicas, plantas de filtración de aceite y refinerías. - ¿Cuáles son las ventajas del Medidor de Orificio?
Algunas de las ventajas del Medidor de Orificio son: su bajo costo, su amplio rango de medición de tasas de flujo, su diseño simple y su baja caída de presión. - ¿Cuáles son las desventajas del Medidor de Orificio?
Algunas de las desventajas del Medidor de Orificio son: la dificultad para leer la presión mínima para el flujo y la incapacidad de recuperar la presión aguas abajo.
