La resistencia de materiales es una disciplina que se encarga de analizar las tensiones y deformaciones que se producen en componentes estructurales. En este artículo, nos adentraremos en el fascinante mundo de las tensiones en una carcasa cilíndrica gruesa, uno de los elementos más comunes y fundamentales en la ingeniería. Descubriremos cómo se distribuyen las tensiones en este tipo de estructuras y cómo afectan su comportamiento mecánico. ¡Prepárate para sumergirte en el apasionante mundo de la resistencia de materiales y desvelar los secretos de las tensiones en una carcasa cilíndrica gruesa!
Ya hemos hablado antes de los diferentes tipos de recipientes a presión. El cilindro grueso es uno de los tipos de camisa de cilindro que se utiliza para muchas aplicaciones, como por ejemplo: B. Los cañones de armas, los cilindros hidráulicos y los tubos están expuestos a presiones internas muy altas. En estas aplicaciones, el espesor de la pared debe ser grueso para soportar las altas presiones internas. En este artículo discutiremos cómo calcular las tensiones en una carcasa cilíndrica gruesa.


En el artículo anterior, discutimos que las tensiones en paredes cilíndricas delgadas suponen que las tensiones de tracción se distribuyen uniformemente en toda la sección de la pared. Sin embargo, para carcasas cilíndricas gruesas, no se puede suponer que la tensión se distribuya uniformemente a lo largo de la sección de la pared. Desarrollan tensiones tanto tangenciales como radiales, cuyos valores dependen del radio del elemento considerado.

La distribución de tensiones en una carcasa cilíndrica gruesa se muestra en la figura anterior. En la figura anterior, vemos que la tensión tangencial es máxima en la superficie interior y mínima en la superficie exterior del caparazón. La tensión radial es máxima en la superficie interior del cascarón y cero en la superficie exterior.
Para diseñar una carcasa cilíndrica gruesa para cualquier aplicación, como cañones de armas, cilindros hidráulicos y tuberías, debemos comprender algunas ecuaciones importantes. Esos son
- Ecuación coja
- La ecuación de Birnie
- La ecuación de Clavarino.
- ecuación de barlow
Para la figura anterior, supongamos
Roh = radio exterior de la carcasa cilíndrica
RI = radio interior de la carcasa cilíndrica
t = espesor de la camisa del cilindro = roh -RI
PAG = intensidad de la presión interna
µ = relación de Poisson
σt = tensión tangencial
σR = tensión radial
Ecuación coja
A partir del teorema de Lame, debemos hacer dos suposiciones para resolver los problemas del cilindro grueso.
- Se debe suponer que el material de la gruesa carcasa cilíndrica es homogéneo e isotrópico.
- El material está tensado dentro del límite elástico y está sujeto a la ley del gancho.
- Las secciones planas del cilindro perpendiculares al eje longitudinal permanecen planas bajo presión.
- Las fibras longitudinales de la carcasa cilíndrica están sometidas a la misma tensión.
Por favor habilite JavaScript
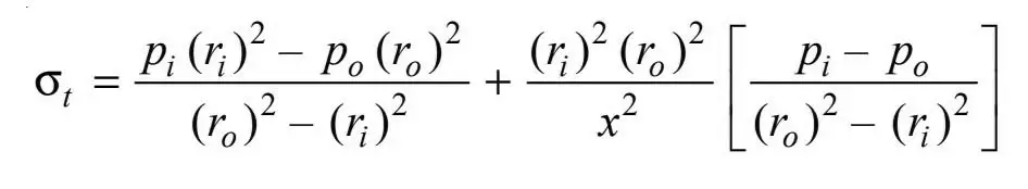
Tenemos la ecuación de Lames para las tensiones tangenciales en cada radio. X es dado por

De la ecuación de Lames obtenemos las tensiones radiales en cada radio. X

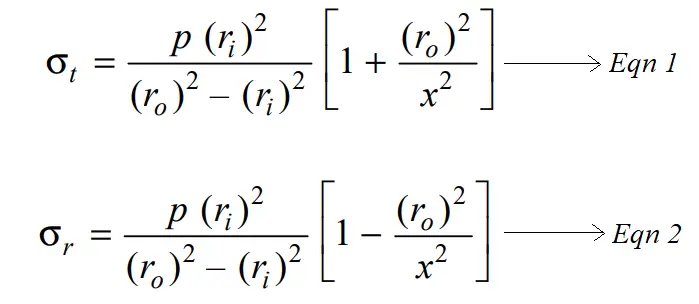
En este artículo sólo nos preocupamos de la presión interna que podemos sustituir PAGoh= 0
Por lo tanto, podemos reescribir las ecuaciones anteriores sustituyendo las PAGoh= 0 y PAGI tan fácil PAG

En el diagrama esquemático de la sección cilíndrica gruesa, podemos ver que las tensiones tangenciales son siempre tensiones de tracción, mientras que las tensiones radiales son tensiones de compresión.
La tensión tangencial es máxima en la superficie interior del cilindro. x = rI y la tensión tangencial es mínima en la superficie exterior del cilindro x = Roh
Podemos reescribir la ecuación de tensión tangencial anterior (Ecuación 1) sustituyendo los valores anteriores de x tanto para las condiciones máximas como para las mínimas.

Asimismo, la tensión radial en la superficie interior del cilindro es máxima. x = rI y la tensión radial en la superficie exterior del cilindro es cero x = Roh
Podemos reescribir la ecuación de tensión radial anterior (Ecuación 2) sustituyendo los valores anteriores de x tanto para las condiciones máximas como para las mínimas.
σr(máx) = – p (comprimiendo)
σr(mín) = 0
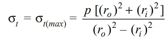
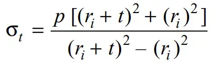
Para diseñar una carcasa cilíndrica gruesa hecha de materiales frágiles como hierro fundido, acero duro y aluminio fundido con una carcasa abierta o cerrada, necesitamos diseñar la estructura de acuerdo con la teoría de falla de la tensión normal máxima.
La tensión tangencial se puede escribir como:

Sabemos el espesor de la pared. t= Roh – RI
Podemos escribir desde eso. Roh = RI + t
Podemos conectar esto a la ecuación anterior. obtenemos

Y aún más simplificado

Ésta es la ecuación para construir una carcasa cilíndrica gruesa únicamente para materiales frágiles. El valor de st para materiales frágiles, se puede asumir 0,125 veces la resistencia a la tracción (σ)tu). Para los materiales dúctiles, el diseño de la carcasa cilíndrica gruesa y la ecuación de Lame se modifican de acuerdo con la teoría del esfuerzo cortante máximo.
Según esta teoría del esfuerzo cortante máximo, el esfuerzo cortante máximo en cualquier punto es igual a la mitad de la diferencia algebraica de los esfuerzos principales máximo y mínimo en ese punto.

El principio máximo en la superficie interior es

y la tensión principal mínima en la superficie exterior es
σt(mín) = – pag
Podemos introducirlos en la siguiente ecuación para obtener el esfuerzo cortante máximo. también reemplazar Roh = RI + t

Finalmente lo conseguimos

El valor de la tensión cortante (τ) generalmente se toma como la mitad de la tensión de tracción (σ).t).
Por lo tanto, la expresión anterior se puede escribir de la siguiente manera

Como podemos ver en la ecuación anterior, la PAG (La presión interna) en el denominador no debe ser igual o mayor que la tensión de trabajo permitida (σ).t o τ). Si PAG es igual o mayor que la tensión de trabajo permitida (σ).t o τ), entonces ningún espesor de la pared del cilindro evita la falla.
Por lo tanto, es imposible diseñar un cilindro para soportar una presión de fluido superior a la carga de trabajo permitida para un material determinado.
Para superar esta dificultad, utilizamos un diseño de cilindro compuesto. A continuación se muestra un esquema de un cilindro ensamblado tal como se ve.

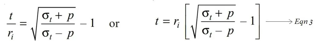
La ecuación de Birnie
Para cilindros abiertos como cilindros de bombas, empujadores, cañones de armas, etc. fabricados de material dúctil como acero con bajo contenido de carbono, latón, bronce y aleaciones de aluminio, las tensiones permitidas no se pueden determinar a partir de la teoría de falla de tensión máxima. En tales casos, se utiliza la teoría de la máxima deformación. Según esta teoría, la falla ocurre cuando la deformación alcanza un límite equivalente a la ecuación de Birnie para el espesor de la pared de un cilindro.

El valor de las tensiones máximas σ.t se puede tomar como 0,8 veces el límite elástico (σ).j).
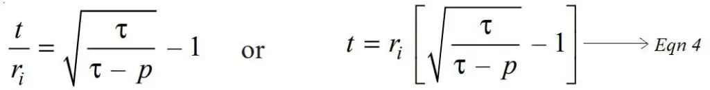
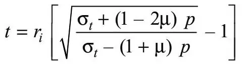
La ecuación de Clavarino.
Esta ecuación también se basa en la teoría de falla por deformación máxima, pero se aplica a cilindros cerrados (o cilindros con cabezas) hechos de material dúctil. Según esta ecuación, el espesor de un cilindro es,

También en este caso el valor de las tensiones máximas es σt se puede tomar como 0,8 veces el límite elástico (σ).j).
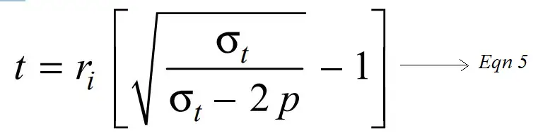
ecuación de barlow
Esta ecuación se utiliza generalmente para tuberías de petróleo y gas de alta presión. Según esta ecuación, el espesor de un cilindro es,
t = proh /σt
También en este caso se puede suponer que el valor de las tensiones máximas σt es 0,8 veces el límite elástico (σy) de los materiales dúctiles. Sin embargo, para materiales frágiles, se puede considerar que la tensión máxima σt es 0,125 veces la resistencia a la tracción (σu), que es similar a la ecuación de Lames.
Diploma
Hemos discutido cómo encontrar las tensiones en la carcasa cilíndrica gruesa analizando cuatro ecuaciones diferentes para diferentes cilindros, como cilindros abiertos y cerrados, y para diferentes materiales, como materiales frágiles y dúctiles. Háganos saber lo que piensa acerca de estas ecuaciones para determinar el espesor de un cilindro para su aplicación.
[automatic_youtube_gallery type=»search» search=»Tensiones en una carcasa cilíndrica gruesa.
» limit=»1″]
Calculando los Esfuerzos en un Recipiente Cilíndrico Grueso
En artículos anteriores, hemos discutido los diferentes tipos de recipientes a presión. El cilindro grueso es uno de los tipos de carcasa cilíndrica que está sometido a presiones internas muy altas en muchas aplicaciones, como cañones de armas, cilindros hidráulicos y tuberías. En estas aplicaciones, el espesor de la pared debe ser grueso para acomodar las altas presiones internas. En este artículo, discutiremos cómo calcular los esfuerzos en un cilindro grueso.
Distribución de esfuerzos en un cilindro grueso
En los cilindros gruesos, el esfuerzo a lo largo de la sección de las paredes no se puede asumir que se distribuye uniformemente. Se desarrollan esfuerzos tanto tangenciales como radiales, con valores que dependen del radio del elemento que se está considerando.
La distribución de esfuerzos en un cilindro grueso se muestra en la figura anterior. En ella podemos ver que el esfuerzo tangencial es máximo en la superficie interna y mínimo en la superficie externa del cilindro. El esfuerzo radial es máximo en la superficie interna y cero en la superficie externa del cilindro.
Ecuaciones para el diseño de un cilindro grueso
Para diseñar un cilindro grueso para cualquier aplicación, como cañones de armas, cilindros hidráulicos y tuberías, es necesario entender algunas ecuaciones importantes. Estas son:
- Ecuación de Lame
- Ecuación de Birnie
- Ecuación de Clavarino
- Ecuación de Barlow
En la figura anterior, supongamos:
- ro = Radio externo del cilindro
- ri = Radio interno del cilindro
- t = Grosor del cilindro = ro – ri
- p = Intensidad de la presión interna
Ecuación de Lame
Según el teorema de Lame, tenemos dos suposiciones que hacer para resolver problemas de cilindros gruesos:
- El material del cilindro grueso se asume homogéneo e isotrópico.
- El material se somete a tensiones dentro del límite elástico y cumple la ley de Hooke.
- Las secciones planas del cilindro, perpendiculares al eje longitudinal, permanecen planas bajo la presión.
- Las fibras longitudinales del cilindro están igualmente deformadas.
La ecuación de Lame para los esfuerzos tangenciales en cualquier radio x se expresa como:
σt(x) = (p * ri^2) / (ro^2 – ri^2) * [(ro^2 / x^2) – 1]
A partir de esta ecuación, podemos obtener el esfuerzo radial en cualquier radio x:
σr(x) = (p * ri^2) / (ro^2 – ri^2) * [(ro^2 / x^2) – 2]
Si solo estamos considerando la presión interna, podemos considerar p = 0 y simplificar las ecuaciones anteriores:
σt(x) = -p * (ro^2 – ri^2) / (ro^2) * (ro^2 / x^2 – 1)
σr(x) = -p * (ro^2 – ri^2) / (ro^2) * (ro^2 / x^2 – 2)
Como se puede ver en el esquema del cilindro grueso, el esfuerzo tangencial siempre es de tracción, mientras que el esfuerzo radial es de compresión.
El esfuerzo tangencial es máximo en la superficie interna del cilindro (x = ri) y mínimo en la superficie externa (x = ro). Las ecuaciones de esfuerzo tangencial se pueden reescribir de la siguiente manera:
Esfuerzo tangencial máximo: σt(max) = -p * (ro^2 – ri^2) / (ro^2)
Esfuerzo tangencial mínimo: σt(min) = -p
De manera similar, el esfuerzo radial es máximo en la superficie interna del cilindro (x = ri) y cero en la superficie externa (x = ro). Las ecuaciones de esfuerzo radial se pueden reescribir de la siguiente manera:
Esfuerzo radial máximo: σr(max) = -p (compresivo)
Esfuerzo radial mínimo: σr(min) = 0
Ecuaciones para el diseño de un cilindro grueso
Para el diseño de un cilindro grueso fabricado con materiales frágiles, como hierro fundido, acero duro y aluminio fundido, con extremo abierto o cerrado, se debe seguir la teoría de fallo del esfuerzo normal máximo.
El esfuerzo tangencial se puede escribir como:
σt = (p * ri) / t
Donde el espesor de la pared se puede expresar como:
t = ro – ri
Podemos sustituir estas expresiones en la ecuación anterior y simplificar obteniendo:
σt = (p * ri) / (ro – ri) = (p * ri) / t
Esta es la ecuación para el diseño de un cilindro grueso para materiales frágiles. El valor de σt para materiales frágiles se puede tomar como 0.125 veces la resistencia a la tracción última (σu). Para materiales dúctiles, el diseño del cilindro grueso según la ecuación de Lame se modifica según la teoría del esfuerzo máximo de corte.
Según esta teoría del esfuerzo máximo de corte, el esfuerzo máximo de corte en cualquier punto es igual a la mitad de la diferencia algebraica de los esfuerzos principales máximo y mínimo en ese punto.
El esfuerzo principal máximo en la superficie interna es:
σt(max) = -p * (ro^2 – ri^2) / (ro^2)
Y el esfuerzo principal mínimo en la superficie externa es:
σt(min) = -p
Sustituyendo estas expresiones en la siguiente ecuación de esfuerzo máximo de corte y sustituyendo también ro = ri + t:
τ = (p * ri) / (2t)
Dado que el valor del esfuerzo de corte (τ) se toma generalmente como la mitad del esfuerzo de tracción (σt), la ecuación anterior puede escribirse como:
τ = (p * ri) / (2t) = (p * ri) / (2 * (ro – ri)) = (p * ri) / (2 * t)
Como se puede observar en la ecuación anterior, la presión interna (p) en el denominador no puede ser igual o mayor que el esfuerzo de trabajo permitido (σt o τ). Si p es igual o mayor que el esfuerzo de trabajo permitido (σt o τ), entonces ningún espesor de la pared del cilindro evitará la falla.
Por lo tanto, es imposible diseñar un cilindro que soporte una presión de fluido mayor que el esfuerzo de trabajo permitido para un determinado material.
Otras ecuaciones para el diseño de un cilindro grueso
Para cilindros de extremo abierto, como cilindros de bombas, émbolos y cañones de armas, hechos de materiales dúctiles como acero de bajo carbono, latón, bronce y aleaciones de aluminio, se utiliza la teoría del máximo esfuerzo de deformación, según la cual la falla ocurre cuando la deformación alcanza un valor límite.
Según la ecuación de Birnie, el grosor de un cilindro se calcula mediante la siguiente fórmula:
t = (σy * ro) / (2 * (σt – σy))
Donde σy es la resistencia a la fluencia del material y σt es el esfuerzo máximo permitido.
En el caso de cilindros con extremo cerrado, se utiliza la ecuación de Clavarino, que se basa en la misma teoría del máximo esfuerzo de deformación, pero se aplica a cilindros con extremo cerrado. Según esta ecuación, el grosor de un cilindro se calcula mediante la siguiente fórmula:
t = (σy * ri) / (2 * (σt – σy))
La ecuación de Barlow se utiliza generalmente para tuberías de petróleo y gas de alta presión. Según esta ecuación, el grosor de un cilindro se calcula mediante la fórmula:
t = (p * ro) / σt
Donde σt es el esfuerzo máximo permitido.
Conclusión
Hemos discutido cómo calcular los esfuerzos en un cilindro grueso mediante el análisis de 4 ecuaciones diferentes para diferentes tipos de cilindros y materiales, tanto frágiles como dúctiles. Comparta su opinión sobre estas ecuaciones y cómo se pueden aplicar al diseño de cilindros para su aplicación específica.